인강
도서
유스터디학습관
로그인
회원가입
장바구니
고객센터
즐겨찾기
유스터디 인강
공무원
경찰공무원
소방공무원
해양경찰
자격증
검색
닫기
해당 검색어가 없습니다.
통합검색
공무원
일반행정직
공무원 T-PASS
교육행정직
방호직
시설관리직
사회복지직
지역인재9급
군무원 행정직
군무원 군수직
국회사무처 경위직
국회사무처 방호직
국회사무처 속기직
국제공인영어시험 지텔프
경찰공무원
경찰 T-PASS
기본이론 종합반
심화특강 종합반
문제풀이 종합반
일반경찰 프리패스
경찰승진 패키지
경찰면접 특강
경찰 단과반
경찰공무원 간부후보생
경찰행정 특채
국제공인영어시험 지텔프
소방공무원
소방 T-PASS
소방공채 프리패스
소방경력채용 프리패스
구급특채 프리패스
소방단과반
해양경찰
함정요원(항해/기관)
해경공채합격패스
해양수산고교 특채 합격패스
해경 T-PASS
해경문제풀이 종합분석반
해경승진 패키지
해경학과특채 패키지
해양경찰 인적성
국제공인영어시험 지텔프
해양경찰 단과반
자격증
한국실용글쓰기
도시농업관리사
초음파비파괴검사
침투비파괴검사
자기비파괴검사
방사선비파괴검사
RI면허 출제유형 500제
국제공인영어시험 지텔프
고객센터
공지사항
수험뉴스
자주 묻는 질문
수강후기
합격수기
추록 및 정오표
기출문제
교수님 질문있어요!
1:1 온라인 문의
강좌 오픈 및 업데이트
학습 프로그램 설치
이벤트
수험뉴스
홈
> 고객센터 >
수험뉴스
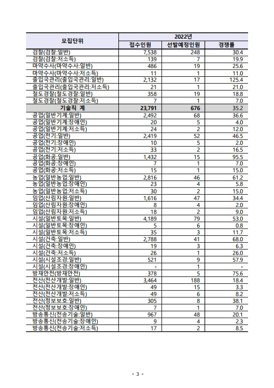
▶ 2022 인사혁신처 국가공무원 9급 공개경쟁채용시험 경쟁률
조회수 : 154
유스터디
2022-03-15 11:39:34
첨부자료 :
File1:
2022년도 국가공무원 9급 공개경쟁채용시험 원서접수 결과.pdf
고객지원
평일 09:00~17:00 토/일/공휴일에는 1:1 문의를 이용해 주세요.